The Online Guide to the Namibian Economy
info@economy.com.na
The Online Guide to the
Namibian Economy
Powered by
The Online Guide to the
Namibian Economy
Powered by
Menu
Home
Economic Dashboard
About Namibia
At a Glance
Cabinet
Regulators
Public Enterprises
Sectors
Agriculture
Fishing
Mining
Diamonds
Manufacturing
Construction
Electricity
Water
Tourism
Transport
ICT
Banking
Special Issues
Oil and Gas
Green Hydrogen
Climate Change
Downstream Petroleum
Resources
Public Documents
Our Publications
Our Presentations
Guide to the Namibian Economy
About Us
About The Online Guide
Contact Us
Publication Year Archives:
Fraser Institute Annual Survey of Mining Companies 2023
The Namibian Mining & Energy Handbook
Sovereign Wealth Fund of Namibia Draft Bill
2023 Chamber of Mines Annual Review
National Trade Policy
Annual National Accounts 2023
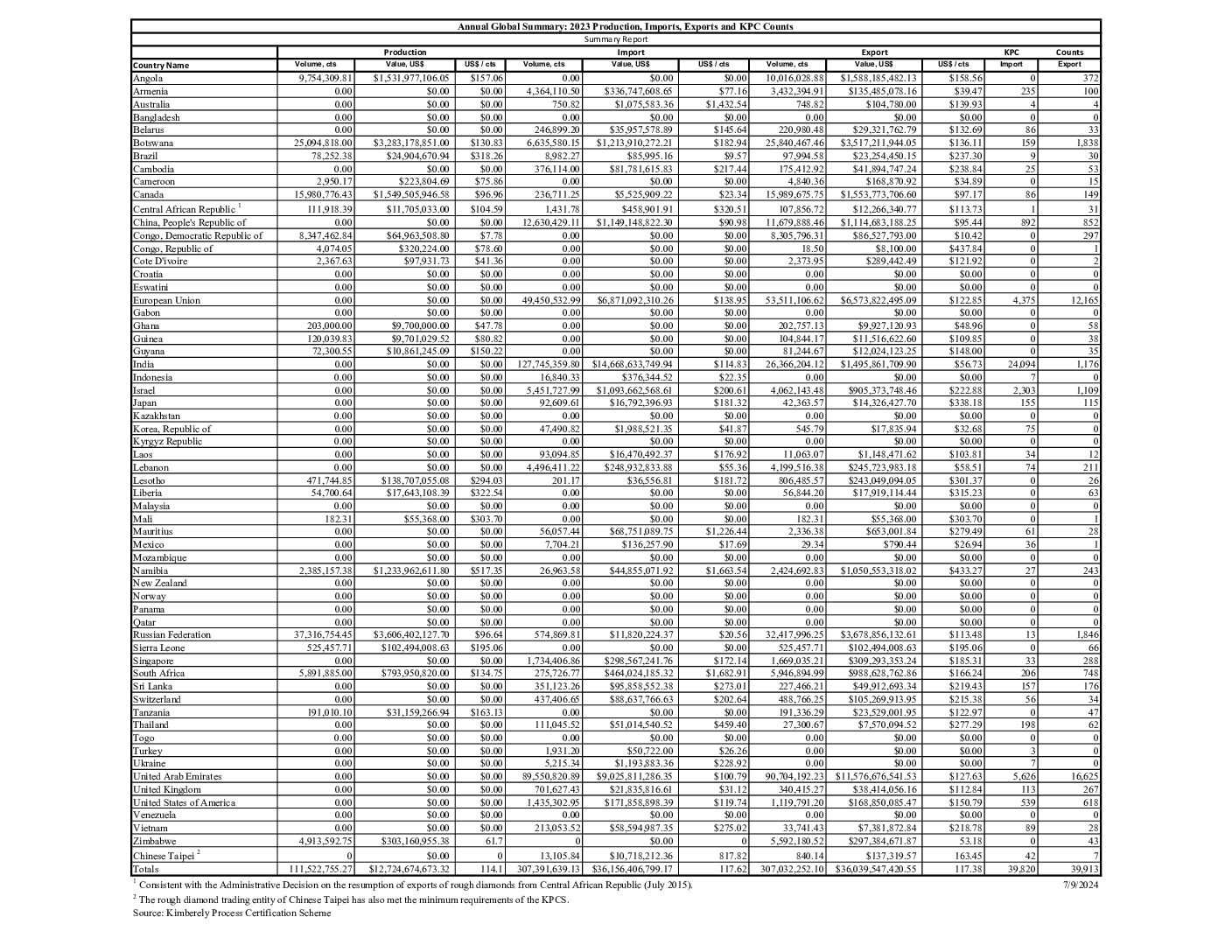
Kimberley Statistics Global Summary 2023
Namibia Quarterly Economic Review 2023 Q4: Public Enterprise Reform
State of the Namibian Economy 2023
Namibia Tourist Statistical Report 2023
BoN Quarterly Bulletin December 2023
BoN Economic Outlook December 2023
BoN Annual Report 2023
BoN Monetary Policy Statement 6 December 2023
Public Enterprise Governance: An Economic Perspective
Final Draft of the Public Enterprises Ownership Policy of the Namibian State
Mid-Year Budget Review Statement 2023-24
Namibia Quarterly Economic Review 2023 Q3: History of Namcor
BoN Economic Outlook August 2023
Namibia Oil and Gas Conference Draft Programme 2023
Meeting the Economic Challenges of Oil and Gas: Forewarned is Forearmed
NIPFA Update Dr. Humavindu presentation 7 August 2023
Namibia Quarterly Economic Review 2023 Q2: Land Reform Statistics
BoN Quarterly Bulletin June 2023
BoN Quarterly Bulletin March 2023
Namibia Quarterly Economic Review 2023 Q1: Namibia’s Electricity Supply
BoN Economic Outlook March 2023
State of the Nation Address 2023
Estimates of Revenue and Expenditure 2023-24
Budget Statement 2023-24
Designated Employers Threshold Reduced
Democracy Report 2022 October: The Mid-year Budget Review FY2022/23
Democracy Report 2022 March: Namibia’s National Budget FY2022/23
Update on the Main Legal Issues Under the Namibia Investment Promotion And Facilitation Bill